The Threefold Speed of Time
Plancktons, Push-Gravity, and the Diverse Ecology of Clocks
— from GAC5D to Timescape Cosmology
Why does time run faster far from mass?
We know the fact: clocks run slower near massive objects and faster far away.
GPS satellites must correct for it. Astronomers measure it as gravitational redshift. Physicists treat it as settled.
But the mechanism is rarely discussed. The image at the top of this article shows the very patchy universe and in the dark bits time proceeds at 3X the rate it does in the light.
General Relativity tells us that time dilates — not why. It replaces explanation with geometry. Time “flows differently” because spacetime is “curved.” Elegant, yes. Mechanistic, NO!
In my GAC5D (Gravitational Aether Casimir, 5-Dimensional) model, time dilation has a physical cause — and that cause turns out to impose a natural upper limit on how much faster time can ever run: about three times faster than clocks near the most compact stable matter. This is no mere coincidence with what is observed, it is a fundamental characteristic of the very nature of the universe!
This post explains why — and why this same mechanism also eliminates the need for dark energy while fitting naturally with the observed timescape cosmology.
From gravitons to plancktons
In GAC5D, gravity is not a pull. It is a push.
The universe is permeated by a Planck-scale aether composed not of force-carrying gravitons, but of Plancktons — Planck-scale excitations that collectively behave like a pressure-bearing medium.
Mass does not attract matter across empty space. Instead, mass:
- partially excludes
- disorders
- or depletes
the surrounding Planckton field.
The result is a pressure gradient. Matter is pushed toward regions of lower Planckton density, just as air is pushed into a vacuum. Gravity is not attraction — it is pressure imbalance.
This inversion matters enormously for time. Planckton explain the dilation of time. Here’s a link to more reading on Plancktons
From Gravitons to Planckton: An Ecological view of the Theory Of Everything
Time as an emergent ecological rate
In GAC5D, time is not fundamental. It emerges from physical processes — oscillations, transitions, decays, interactions — all of which depend on coupling to the surrounding Planckton field.
A clock is not a device that “measures” time.
A clock is time — a repeating physical process.
If the Planckton flux available to drive those processes changes, the clock rate changes.
This leads to a simple but powerful principle:
Local clock rate is proportional to local Planckton interaction density.
Near mass:
- Planckton flux is suppressed
- interaction rates fall
- clocks slow
Far from mass:
- Planckton flux is restored
- interaction rates rise
- clocks speed up
Time dilation is therefore process starvation, not geometric distortion.
Why time speeds up with distance — but not without limit
As we move away from a massive object, clocks run faster. But how much faster can they run?
Surprisingly, both classical relativity and GAC5D converge on the same answer.
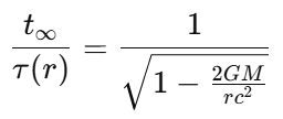
In standard Schwarzschild gravity, the ratio between a clock far from mass and one at radius ( r ) is:

If we ask when this ratio equals 3, we find:

This corresponds to the most compact stable configuration of ordinary matter.
The key result:
For non–black-hole matter, far-field time can run at most ~3× faster than near-surface time.
The GAC5D interpretation: Planckton saturation
In GAC5D, this limit emerges naturally — and physically.
As mass becomes more compact:
- Planckton exclusion deepens
- local interaction rates fall
- clocks slow further
But Planckton exclusion cannot increase indefinitely while matter remains stable.
There exists a maximum sustainable depletion of the Planckton field consistent with:
- structural integrity
- pressure balance
- causal continuity
That saturation point corresponds to a threefold difference between:
- clocks embedded in the most Planckton-depleted environments
- clocks immersed in the fully restored far-field aether
Beyond that threshold, the system does not produce “more time dilation.”
It produces horizons.
Thus, the ≈3× limit is not arbitrary.
It is the ecological carrying capacity of time itself.
Timescape cosmology: not one time, but many
Timescape cosmology emphasizes that the universe does not possess a single global clock.
Instead, cosmic structure formation partitions spacetime into:
- dense, gravitationally bound “walls” (galaxies, filaments)
- expanding, low-density voids
Clocks in these environments do not tick at the same rate.
GAC5D supplies the missing physical substrate.
- Void regions are Planckton-rich
- Wall regions are Planckton-depleted
- Clock rates differ because interaction rates differ
Timescapes are therefore not coordinate artifacts — they are characteristic of the nature of Planckton availability.
Why dark energy may be a clock-calibration illusion
The standard cosmological model infers accelerated expansion because distant supernovae appear dimmer than expected. To explain this, we invent dark energy — a pervasive, negative-pressure substance with no direct physical detection.
GAC5D offers a simpler explanation.
If light travels through regions with different clock rates, and we interpret that light using a single universal time standard, we misinterpret what we see.
Formally, let:
- ( t ) be a volume-average cosmic bookkeeping time
- ( \tau ) be the proper time measured by observers in gravitationally bound regions (like us)
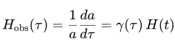
Define a lapse factor:
![]()
If cosmic expansion is described by ( a(t) ), wall observers infer:

Even if ( H(t) ) is decelerating, an evolving lapse factor ( \gamma(\tau) ) can make the expansion appear accelerated.
The Planckton origin of the lapse
In GAC5D, the lapse factor is not abstract. It is physical.
Because clock rate scales with Planckton interaction flux ( \Phi_P ):

As the universe becomes increasingly void-dominated with cosmic time:
- the effective lapse grows
- differential aging increases
- light propagation becomes increasingly mis-calibrated if one insists on a single clock
The observational signature attributed to dark energy emerges naturally — without invoking a new substance.
Linking the micro and the macro
The earlier threefold clock-rate bound arises from the most extreme Planckton depletion near compact matter.
Timescape cosmology operates at the opposite extreme:
- Planckton-rich voids
- Planckton-poor walls
- evolving volume fractions
Together they bracket a unified principle:
Time is regulated by Planckton ecology — from nuclei to stars to the cosmic web.
Near compact matter, time slowing saturates.
Across cosmic structure, time differentials evolve.
Both are governed by the same mechanism.
A final synthesis
Time does not flow faster far from mass because spacetime stretches.
It flows faster because the universe feeds its clocks more generously there.
In GAC5D:
- gravity is pressure
- time is rate
- acceleration is mis-calibration
- dark energy is unnecessary
The universe is not a stage — it is a medium.
And time, like life, is ecologically constrained.